Сьогодні ФК «Полісся» змагатиметься на домашньому стадіоні із херсонським «Кристалом». На жаль, через карантинні обмеження, гра відбудеться без глядачів, лише в присутності декількох офіційних гостей.
Радісну новину повідомив на своїй сторінці у фейсбуці голова ОДА Віталій Бунечко.
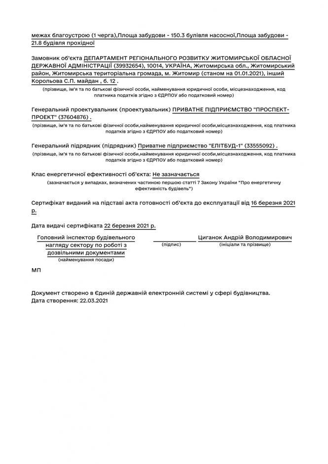
"Ставимо крапку в 12-річній епопеї з ремонтом стадіону «Полісся»! Спортивна арена отримала дозвіл від ДАБІ на введення в експлуатацію та була рекомендована Асоціацією футболу України для включення у календар змагань на 2021-2022 роки" - написав очільник області.
Керівник ОДА нагадав, що команда і вболівальники чекали на цей день довгих 12 років та понад 4 тисячі днів без футбольних матчів у Житомирі.
"Приємно, що нам вдалося зробити те у що багато хто не вірив та, нарешті, ввести в експлуатацію цей стадіон, а також ще 5 нових спортивних об’єктів, що були побудовані минулого року в рамках програми Президента «Велике будівництво» на Житомирщині" - зазначив Віталій Бунечко.
Стадіон "Полісся" отримав сертифікат відповідності від Української асоціації футболу і Федерації легкої атлетики України, що дасть змогу проводити всеукраїнські змагання різного рівня, зокрема й міжнародні.


Хочете отримувати новини першими – приєднуйтеся до нас у соцмережах
№ 37 від 19 листопада 2025
Читати номер